Empty Capsules Supplier - All Colors Hard Shell Custom Customized
Empty Capsules Supplier - All Colors Hard Shell Custom Customized
Empty Capsules Supplier - All Colors Hard Shell Custom Customized
Empty Capsules Supplier - All Colors Hard Shell Custom Customized
Empty Capsules Supplier - All Colors Hard Shell Custom Customized
Empty Capsules Supplier - All Colors Hard Shell Custom Customized
Image 1/1

Empty Capsules Supplier - All Colors Hard Shell Custom Customized

US$ 0.00

Product Attribute

Model Number: 07075
Brand Name: Customized/OEM
Place of Origin: Shandong, China
Logo printing: as your Request
Product Name: Empty Capsule
Material: Gelatin or HPMC
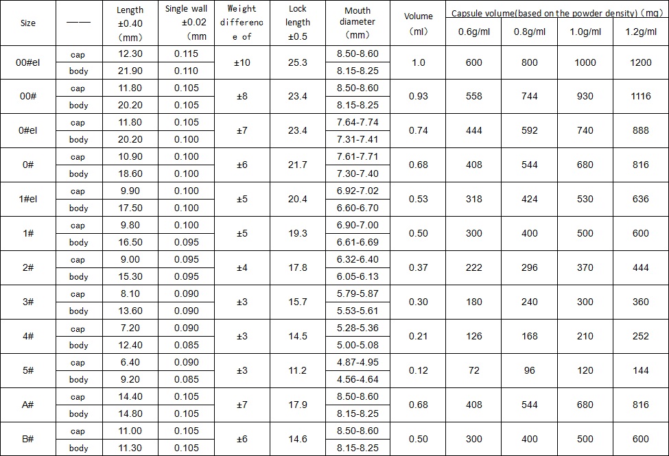
Size: 00E#,00#,0#,1#,2# and etc.
Certificate: cGMP/HACCP/BRC
Appearance: Transparent, White, Red,Green, or as your request
Package: Carton, or as your request
Sample: Availabe
Selling Units: Single item

1 years

Main Products: Superfood, Timed, Release, Capsule, Softgel, Capsule

Product information

Products Description

Product Image

Product Image

Product Image

Product Image

Product Image

Product Image

Product Image

Product Image

Basic Information

  • Total Capitalization: NA
  • Year Established: NA
  • Total Employees: NA
  • Product Certificate: NA
  • Business Type: Trading Company

Trading Capabilities

  • Total Annual Revenue: NA
  • Export Percentage: NA
  • OEM Services: NA
  • Small Orders Accepted: NA
  • Brand Names: NA
  • Payment Terms: NA
  • Main Competitive Advantages: NA
  • Major Customer: NA
  • Export Markets: NA
View More